中仿GeoStudio软件在尾矿坝工程中的多方位应用
随着国内社会经济的快速发展,随之而来的经济建设活动与矿产资源开发密不可分,尤其是稀有和稀土金属矿等国家战略性资源,其基础性作用也得到了前所未有的重视。
由于尾矿坝的特殊性,其稳定性分析包含众多子课题,本文针对施工速率、水位变化、降雨条件、爆破震动影响、材料参数影响、污染物运移、植被修复等多方面对尾矿安全的影响进行阐述,借助中仿GeoStudio软件的应用,提出上述因素的解决方案,以期提高尾矿相关从业技术人员的技术能力。
一、施工速率的影响
尾矿库作为矿产资源开发过程中必不可少的重要组成部分,由于资源开发的快速增长,其数量和筑坝速率也在不断激增,筑坝速率的提高势必会影响坝体的稳定性,如果尾矿堆积子坝和沉积滩面上升速度过快,会导致堆存的尾矿固结度比较低,尾矿堆积体仍然处于松散状态,堆积体的抗剪强度比较低,因此尾矿堆积坝的稳定性比较差。
案例来源:
李洪梁,王立娟,尹恒,等.金属矿山高速率筑坝尾矿库稳定性分析[J].矿业研究与开发,2020,40(01):95-102.DOI:10.13827/j.cnki.kyyk.2020.01.019.
以四川省攀枝花市虹亦钒钛磁铁矿五道沟尾矿库为例,首先利用无人机摄影测量在2027年3月和2019年5月进行了2次数据采集,建立尾矿库精细三维模型,叠加分析可得筑坝速率为24.89m/a,处于高速率筑坝状态;在此基础上,利用渗流场模拟浸润线分布情况,显示其埋深明显大于规范要求,最后利用极限平衡法分析坝体在正常运行、洪水运行和特殊运行条件下的安全系数均满足规范要求,且有较大余量,表明五道沟尾矿库在经历高速率筑坝且渗流场达到稳定状态后,在正常运行、洪水运行和特殊运行工况下整体处于稳定状态,该分析方法在金属矿山高速率筑坝尾矿库稳定性分析中具有推广性和可复制性。

图1 尾矿库浸润线计算结果

图2 尾矿库稳定性分析
二、水位变化的影响
大量工程实践及研究表明,地下水是影响边坡稳定性的重要因素,受水库水位涨落影响,库岸边坡内部水力因素对边坡稳定性的影响作用就更加明显且复杂,正因如此,水库蓄水常诱发库岸边坡发生滑坡等地质灾害,进一步还可能引发涌浪等二次灾害,影响水库正常调蓄功能,甚至危及库区及下游人民生命财产安全,故研究库岸滑坡蓄水过程稳定性变化规律有其重要的意义。
案例来源:雷雨露,鲁博,于前伟,等.库岸滑坡在蓄水过程中稳定性变化规律的数值模拟研究[J].河南科学,2020,38(10):1618-1624.
拟建车村水库坝址位于鲸鱼沟下游,距沟口处的红旗水库坝址约1.16 km. 水库初拟最大坝高86 m,正常蓄水位550 m 时,回水至杨家沟水库坝址下游,回水长约6.6 km,水库总面积165.6 hm2 . 库区总体呈SE~NW向展布,平面上呈向SW凸出的弧形,左岸侵蚀作用较强,古滑坡发育多。
为综合评价滑坡稳定情况,获取不同蓄水过程中滑坡的稳定性变化规律,本文提出3种工况进行分析,针对不同工况使用GeoStudio中的slope/w模块和seep/w模块,对地下水分布状态和对应状态下的稳定性变化规律进行模拟和分析。这3种工况分别为:①保持某一蓄水位长期不变;②蓄水位短时间上升一定水位高度;③蓄水位短时间下降一定水位高度。

图3 恒定水位下地下水及地表水分布

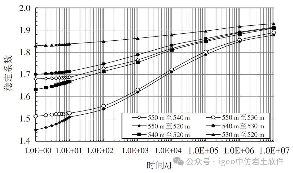
图4 恒定水位下稳定系数与库水位高度的关系

图5 水位激增后稳定系数随时间的变化

图6 水位骤降后稳定系数随时间的变化

图7 水位激增前后坡内孔隙水压力对比

图8 水位骤降前后坡内孔隙水压力对比
本文从水库滑坡地下水分布及运移情况入手,分析了水库不同蓄水条件下库岸滑坡稳定性变化规律,研究结果如下:
1)为满足正常调蓄功能的同时确保下游居民生命财产安全,对滑坡在水库蓄水过程中稳定性的研究论证十分必要,其中地表水对地下水的影响和变化是滑坡稳定性的研究重点;
2)在稳定蓄水水位下,不同蓄水高度有不同稳定系数,稳定系数与蓄水高度间的对应关系与滑坡自身特征有关。伯坊村滑坡稳定蓄水水位上升过程中,对应稳定系数先减小后增大;
3)在蓄水水位变化后的一段时间内,滑坡内孔隙水分布会随之变化,地下水变化有明显滞后性且需较长时间达到平衡状态;
4)在库水位激增的工况下,滑坡稳定性在水位上升后瞬间增大,于第一天达到最大值,随后稳定系数减小,并随时间推移逐渐趋近于稳定水位下的稳定系数;在库水位骤减的工况下,滑坡稳定性在水位下降后瞬间减小,于第一天达到最小值,随后稳定系数增大并随时间推移逐渐趋近于稳定水位下的稳定系数。
三、降雨条件的影响
尾矿坝的失稳溃坝往往发生于连续降雨期间,连续降雨会增加坝体的饱和度,降低土体的基质吸力,使得土体抗剪强度下降,最终导致尾矿坝失稳破坏。鉴于上述原因,对连续降雨期间尾矿坝失稳的机制进行分析并采取有针对性的措施进行预防是极为有必要的。
案例来源:刘余欣,易飞,徐裕华,等.连续降雨对尾矿坝稳定性的影响分析[J].安徽建筑,2020,27(08):103+122.DOI:10.16330/j.cnki.1007-7359.2020.08.050.
本次研究的尾矿坝坝体材料主要包括尾细砂、尾粉砂、粉质黏土、填土以及块石棱体等,根据其典型剖面建立有限元网格模型,见下图,该网格模型共有7486个节点,7293个单元。

图9 计算模型网格图
利用Geostudio 软件的渗流模块对上述建立的模型进行渗流计算,获得尾矿坝在上述工况下的渗流计算结果,如下图所示。

图10 连续降雨条件下尾矿坝总水头图
由上图可知,连续降雨3天后坝体的总水头相较于降雨一天后的总水头有明显提升。随着雨水不断渗入到坝体内部,坝体的饱和度持续增加,坝体材料的渗透系数也随之增加。降雨3 天后坝体内部浸润线的高度相较于第一天有明显增加,坝体失稳的可能性也随之增加。
将上述渗流计算结果导入到GeoStudio软件的稳定性计算模块,利用软件内置的简化bishop 法对坝体的稳定性进行计算,结果如下图所示。

图11 连续降雨一天后尾矿坝坝体稳定分析图
由上图可知,在连续降雨一天后坝体的安全系数为0.919,明显小于《尾矿设施设计规范》(GB 50863-2013)规定的最低安全系数1.25,尾矿坝坝体会发生失稳。为了便于比较分析,同时给出了连续降雨2天、3天以及3种不同算法计算得出的安全系数值,见表2。从表2可以看出,随着降雨时间的增加,尾矿坝坝体的稳定系数进一步下降,连续降雨3天后,由简化Bishop法计算得出的安全系数仅为0.766,明显小于规范规定的最低安全系数,极易发生溃坝。
本文运用GeoStudio软件内置的渗流及稳定性计算模块对连续降雨条件下的尾矿坝渗流及稳定性情况进行分析,得出的主要结论如下:
①连续降雨条件下,坝体的总水头明显上升,坝体材料逐渐趋于饱和,浸润线明显抬升,进而导致坝体失稳,且随着降雨时间的增加,坝体的安全系数进一步下降;
②在连续降雨条件下,应做到对尾矿坝位移的24小时监测,及时采取措施应对发生的突发情况,避免溃坝现象的发生。
四、爆破振动的影响
爆破工程技术广泛应用于露天矿山的剥离和开采中,但爆破所产生的爆破振动会影响采场四周邻近建构筑物的稳定性。当露天爆破开采活动逐渐逼近尾矿库时,尾矿库的稳定性必然要考虑爆破振动的影响,有效探究爆破振动对尾矿库稳定性的影响,进而制定有效控制措施,减轻其带来的危害,对矿山生产安全具有十分重要的工程意义。
案例来源:吴礼军,徐文彬.邻近高陡边坡采矿爆破振动规律及边坡稳定性分析[J].工程爆破,2022,28(04):113-119.DOI:10.19931/j.EB.20210384.
根据勘探线剖面图分别建立边坡模型,选定边坡的下界为-100m,上界视剖面而定的区域作为有限元数值模拟GeoStudio的计算剖面。模型范围内主要岩层结构可以分为上盘、下盘和矿体。结合实际情况及剖面形状对边坡计算模型做适当的简化后建立边坡数值模型,如下图所示。

图12 边坡数值模型
使用GeoStudio软件,选择SIGMA/W模块分析,在分析类型中选择“应力重分布”分析类型,设置收敛性及时间参数。输入模型材料相关参数,绘制材料模及相应的边界条件,检查、优化模型,求解。在SLOPE/W中建立模型,绘制材料参数,得到滑移面及安全系数。根据以上步骤对不同勘探线剖面进行模拟,得到其边坡的初始安全系数,如下图所示。

图13 不同勘探线模型安全系数
不同计算方法对应边坡的安全系数如下表所示,从下表看出,5#勘探线剖面相较于7#勘探线的坡度更大,其稳定性略差于7#勘探线剖面。同时,各个剖面初始边坡安全系数值均在1.3以上,稳定性较好。因此,以剖面5#勘探线剖面经过的W4矿体为例,进行数值模拟研究。
表1 各剖面安全系数计算


图14 W4矿体不同中段安全性系数
不同计算方法对应边坡的安全系数汇总如下表所示。以W4矿体为例,向上开采时,0、50、100、150m中段安全系数分别为1.383、1.348、1.256、1.214,即越向上开采,边坡的安全系数越低。
表2 W4矿体各中段安全系数

根据安全系数F对矿山采场边坡稳定性进行风险分级,将边坡滑坡风险等级分为4级,等级越高,滑坡风险越小,露天边坡越稳定(见下表)。非正常工况是指在考虑爆破振动或地震、暴雨等荷载下边坡的安全系数。一般将边坡安全等级分为3级,滑坡风险等级指数为1时为危险,滑坡风险等级指数为2时为安全Ⅱ级,滑坡风险等级指数为3、4时为安全Ⅰ级。根据边坡稳定性模拟的结果,对开采矿块进行安全等级划分。W4矿体0m中段和50m中段开采边坡安全系数F值均大于1.3,50m以上中段F值均大于1.2,因此W4矿体开采过程中边坡均为安全Ⅰ级。安全结果分级表明,高陡边坡下矿体开采过程中边坡均为稳定状态,可使用现有采矿工艺开采。
表3 采场边坡滑坡风险等级

五、材料参数的影响
为保证尾矿坝渗流、变形及稳定性分析的准确性,合理确定尾矿材料的取值尤为重要。尾矿坝由于长期经受多循环水力充填及固结沉降作用,其物质组成和内部结构会发生一定的变化,尾矿材料存在较大的离散性和时空变异性。同时现场实测数据又非常有限,在获取尾矿材料参数时存在一定的测量误差和统计误差。
案例来源:蒋水华,朱明明,曾绍慧,等.基于贝叶斯更新方法的尾矿坝材料参数随机反演[J].岩土工程学报,2020,42(S2):77-82.
为准确获得有限数据条件下的尾矿坝材料参数取值,在贝叶斯更新理论和有限元分析框架下,提出了考虑不确定性的尾矿坝材料参数随机反演方法。为提高参数随机反演分析的计算效率,利用随机多项式展开建立尾矿坝代表性监测点位移与输入参数之间的隐式函数关系。以某实际尾矿坝为例,基于有限的位移监测数据进行多层尾矿材料参数随机反演分析,说明了提出方法的有效性。结果表明,提出方法可以有效缩减尾矿坝材料参数的不确定性,准确推断尾矿坝材料参数的概率分布,并识别不同材料参数(弹性模量和泊松比等)对尾矿坝变形的影响程度。
尾矿坝材料参数普遍存在一定的时空变异性、测量误差和统计误差。为获得精确的尾矿坝稳定性评估结果,需要从特定的场地收集现场试验数据及监测数据等进行参数概率反演分析来确定尾矿坝材料参数取值。
在本文中,GeoStudio软件被应用于尾矿坝的岩土工程有限元应力应变分析。具体应用如下:
建立有限元模型:使用GeoStudio中的SIGMA/W模块对尾矿坝建立有限元模型。模型考虑了基岩下方的坚固岩石,并将基岩底部简化为水平线。

图15 尾矿坝剖面图
材料模型:首先使用线弹性材料模型进行尾矿坝在自重作用下的原位分析,然后采用弹塑性模型进行荷载变形分析。
物理力学参数:根据勘察报告和相关研究成果,为不同尾矿材料设定了物理力学参数,如弹性模量、泊松比、黏聚力、内摩擦角和重度。
应力变形分析:通过计算分析,研究了尾矿坝在自重作用下的位移和沉降情况,发现x方向位移呈现上游小、下游较大的趋势,y方向沉降量随高程增加而增大。
参数随机反演分析:利用有限元模型和位移监测数据,采用Hermite随机多项式展开建立代理模型,进而构建似然函数,进行参数的随机反演分析。
表4 不同尾矿材料参数先验和后验统计特征的比较


图16 不同尾矿材料弹性模量先验和后验概率密度函数的比较
通过GeoStudio软件的应用,本文能够有效地进行尾矿坝的数值模拟和分析,这对于理解尾矿坝材料参数的不确定性和提高尾矿坝设计的可靠性具有重要意义。
六、环境污染的影响
尾矿库用于堆放矿山开采后产生的尾矿,是矿山开采中的重要设施。它也是矿山开采中产生的人造污染源,若管理不当,可能会造成尾矿砂外泄、污染物扩散等后果,严重威胁周围环境、资源及下游人民的生命财产安全。
案例来源:孙杰,郝喆,陈红丹.尾矿坝加高对重金属Cu~(2+)迁移影响的数值模拟研究[J].能源环境保护,2022,36(02):59-67.
为研究尾矿坝加高对Cu2+在尾矿库中迁移的影响,以歪头山尾矿库为例,采用GeoStudio软件进行数值模拟,建立不同坝高的尾矿库模型,获得了不同坝高下的孔隙水压力等势图、重金属浓度分布等势图和粒子迁移路径图。结果表明:当尾矿坝加高时,相同位置的孔隙水压力增大;在尾矿库相同深度,尾矿坝加高会增大Cu2+浓度和污染物迁移距离;经过相同时间的迁移,同一深度处,尾矿坝加高会使重金属污染物的质量浓度增大;尾矿坝加高会增大污染物颗粒的迁移距离和平均迁移速度。
GeoStudio软件在这项研究中扮演了至关重要的角色,它是一个专业的仿真分析软件,主要应用于岩土、采矿、交通、水利、地质和环境工程等领域。在这项关于尾矿坝加高对重金属Cu2+迁移影响的研究中,GeoStudio软件的作用具体包括:
1. 数值模拟:使用GeoStudio软件进行数值模拟,帮助研究人员建立和分析尾矿库在不同坝高情况下的模型。
2. 模型建立:通过GeoStudio,研究人员可以创建尾矿库的数值模型,包括尾矿坝的不同高度设置,以及其他相关的地质和工程参数。

图17 尾矿库概化计算模型
3. SEEP/W模块:该模块用于分析多孔渗水材料的地下水渗流问题。在本研究中,SEEP/W模块用于计算尾矿库的孔隙水压力等势图和体积含水率等结果。

图18 各介质土水特征曲线

图19 各介质渗流系数-基质吸力特征曲线

图20 稳态渗流作用下尾矿库孔隙水压力等势分布图
4. CTTRAN/W模块:这个模块用于分析污染物在地下水中的传输。结合SEEP/W模块,CTTRAN/W模块帮助研究人员分析了重金属Cu2+的对流-弥散过程,以及污染物的迁移。

图21 重金属Cu2+迁移2 920 d 浓度等势图

图21 重金属Cu2+迁移2 920 d 路径分布
5. 数据分析:通过模拟计算,GeoStudio软件提供了关于重金属Cu2+浓度分布、粒子迁移路径等重要数据,这些数据对于理解尾矿坝加高对污染物迁移的影响至关重要。
6. 预测和评估:基于模拟结果,研究人员可以预测尾矿坝加高对重金属迁移范围的影响,并对尾矿库的环境地质评价和污染预测防治提供科学依据。
总之,GeoStudio软件为这项研究提供了一个强大的数值模拟平台,使得研究人员能够在不进行实际物理实验的情况下,对尾矿坝加高的环境影响进行深入的分析和评估。
七、植被修复的影响
传统工程护坡的技术有很多,如浆砌石护坡、三合土灰面护坡、锚喷等,但是存在很多问题,如经济成本高,与坡面结合不好,不利于环境保护等。新兴的植被护坡技术不仅能弥补传统工程护坡的不足并且能修复生态系统。喷混类、加固填土类等四类生态恢复技术满足了传统边坡治理方法安全性和植被重建生态性的平衡。
案例来源:侯永莉,曹明杰,郝喆,等.基于GeoStudio灌木修复下尾矿坝稳定性分析[J].能源环境保护,2020,34(01):48-53.
为研究植物生长年限及坡比等因素对尾矿坝安全系数的影响,进行了根土复合剪切实验,设置坡比、植物修复年限、坝高等参数条件并建立尾矿坝模型,通过GeoStudio软件计算不同条件下尾矿坝的安全系数。结果表明:植物修复可提高尾矿坝安全系数,但在修复植物生长年限较短的情况下效果并不明显,修复时间≥10 a 且坡比为1∶5时效果显著;在坡比与修复年限相同的条件下,安全系数随尾矿坝的增高呈降低趋势;在坝高、修复年限相同的条件下,安全系数随坡比的减小呈增大趋势,安全系数差值集中在0.2~0.8,安全系数计算结果间差异均显著(P>0.05)。
在本文中,GeoStudio软件被应用于尾矿坝稳定性分析的多个方面,具体应用如下:
尾矿坝模型建立:利用GeoStudio软件,研究者建立了尾矿坝的几何模型,主要针对坝体剖面进行研究。通过分析尾矿砂的粒级分布特征,将分层特征相近的归并为同一层,进而构建计算模型和地质结构分层图。

图22 尾矿坝模型示意图
根土复合土模型和修复植物结构模型建立:测量不同修复年限台阶植被修复深度,通过剪切实验测量根土复合土的相关力学指标,包括内聚力与内摩擦角等。根据植物生长状态等相关指标,建立表层生态修复区的根土复合土模型和修复植物结构模型。
表5 根土复合剪切实验结果

渗流数值模拟计算:使用GeoStudio进行正常水位和洪水位浸润线的模拟计算,分析尾矿坝体孔隙水压力和渗流速度,进而评估这些因素对坝体稳定性的影响。
静力分析:在模型底部施加固定约束,左右两侧施加水平约束,选择合适的参数,分别对正常运行工况和洪水运行工况进行静力稳定性计算。
坝体稳定性计算:采用毕肖普法进行尾矿坝稳定性的计算,并根据《尾矿设施设计规范》(GB 50863—2013)规定的最小安全系数进行评估。
模拟不同条件下的尾矿坝安全系数:通过设置不同的坝高、坡比和修复年限等参数条件,使用GeoStudio软件模拟在这些不同条件下尾矿坝的安全系数。

图23 模拟计算结果
结果分析:通过GeoStudio软件的模拟结果,分析了修复时间、坡比等因素对尾矿坝安全系数的影响,以及这些因素如何相互作用。

图24 修复时间分析稳定性对比

图25 坡比分析稳定性对比
总的来说,GeoStudio软件在本文中作为一个重要的工具,帮助研究者模拟和分析尾矿坝在不同环境和工程条件下的稳定性,为尾矿坝的安全设计和管理提供了科学依据。
联系我们
中仿软件区域负责人联系方式:
张经理:17621192152【上海、浙江、广东、广西、海南、江西、福建、云南】
丰经理:17521145176【北京、河北、天津、山东、山西、安徽、江苏、河南、黑龙江、辽宁、吉林、内蒙古】
许经理:18971301365【湖北、四川、重庆、宁夏、贵州、陕西、甘肃、新疆、青海、湖南】
公司电话:021-80399555
地 址:上海市松江区九新公路1005号临港松江科技城中仿大厦(201615)
电子邮箱:info@cntech.com
客服热线:400-888-5100
技术交流(QQ群):246828135
购买咨询(微信):请用微信扫一扫
